Tin tức trong tuần
Oct 16-2021

Vũ Linh

 

TIN TỨC – 16/10/2021  

BIDEN ĐỒNG Ư CUNG CẤP TÀI LIỆU MẬT CHO QUỐC HỘI

    Ủy ban đặc biệt của hạ viện điều tra về vụ biểu t́nh bao vây quốc hội ngày 6/1/2021 đă đ̣i Ṭa Bạch Ốc cung cấp tất cả tài liệu liên quan đến các cuộc nói chuyện, thảo luận của TT Trump với các phụ tá và cố vấn liên quan đến vụ này. Và cụ Biden đă chính thức cho biết sẽ cung cấp.

    Đây là việc là chưa từng thấy trong lịch sử chính trị Mỹ. Trên nguyên tắc, tất cả những thảo luận của tổng thống với các phụ tá đều được Hiến Pháp bảo vệ như một thứ ‘đặc quyền của hành pháp’ -executive privilege- để giúp tổng thống và nội các, các phụ tá và cố vấn có thể thảo luận, trao đổi ư kiến một cách trung thực, thẳng thắn nhất mà không bị lôi thôi v́ chính trị hay pháp lư ǵ. Nhưng cụ Biden v́ tính phe phái, đă vứt bỏ thông lệ này vào thùng rác, sẵn sàng tiếp tay với phe DC trong quốc hội để đánh Trump.

    Cụ Biden cũng chứng minh là người thiển cận nhất, không thể nh́n xa và hiểu việc làm này có thể sẽ trở thành gậy ông đập lưng ông, để một chính quyền CH tiếp nối có thể đánh cụ Biden lại. Chính trị gia Mỹ không bao giờ nh́n thấy xa hơn cuộc bầu cử tới.

    Dù vậy, câu chuyện chưa ngă ngũ v́ chắc chắn TT Trump sẽ khởi kiện.

https://www.msn.com/en-us/news/politics/biden-administration-agrees-to-provide-records-to-
jan-6-panel/ar-AAPhSwh
 

TIN TỐI CAO PHÁP VIỆN

    Phe tả trong đảng DC đă áp lực đ̣i gia tăng số thẩm phán trong Tối Cao Pháp Viện để họ có cơ hội bổ nhiệm thêm ít nhất 4 thẩm phán cấp tiến vào để hóa giải ảnh hưởng của đa số bảo thủ hiện nay.

    Cụ Biden trước đây đă từng chống việc tăng thẩm phán, bây giờ bị áp lực mạnh của phe thiên tả cực đoan, nên … bán cái, cho thành lập một ủy ban đặc biệt nghiên cứu vấn đề. Sau mấy tháng làm việc, ủy ban đă có ‘bản dự thảo’ phúc tŕnh. Họ khuyến cáo KHÔNG gia tăng số thẩm phán. Đây dĩ nhiên là giải pháp hợp lư nhất v́ gia tăng sẽ đưa đến hai hậu quả quá lớn và quá tai hại. Thứ nhất làm mất uy tín TCPV, biến cơ chế này thành một công cụ chính trị; và thứ nh́, sẽ không cản được việc phe bảo thủ gia tăng số thẩm phán lại khi họ nắm quyền.

    Chủ tịch ủy ban là ông Bob Bauer, cựu cố vấn pháp luật của TT Obama.

    Một thất bại lớn của khối cấp tiến cực đoan. Và phe này đă ồn ào phản đối. Lại thêm một cuộc chiến trong nội bộ phe ta mà cụ Biden ngẩn ngơ không biết phải làm ǵ. 

https://www.foxnews.com/politics/supreme-court-commission-floats-rotating-justices-as-
alternative-to-growing-size-of-court
 

TIN KINH TẾ

    Ø   Dân Mỹ lao đao

    Một nghiên cứu mới của Đại Học Harvard làm chung với một trung tâm nghiên cứu, cho thấy hiện nay, trong 10 người, có 4 người đang gặp khó khăn tài chánh lớn, vất vả với giá sinh hoạt gia tăng, đặc biệt là giá các dịch vụ y tế và giá thực phẩm. Những người càng nghèo càng vất vả nặng hơn bất kể những quà cáp cụ Biden đă và đang muốn tặng. Trong khối dân có lợi tức dưới 50.000 đô một năm, số người vất vả lên tới 6 trong 10 người.

    Thủ phạm chính là việc kinh tế bị đóng cửa khiến cả chục triệu người mất việc hoặc chỉ c̣n đi làm bán thời. Một phần ba những người có lợi tức thấp đă mất hết tiền dành dụm trong nhiều năm trước.

    Các khối dân da màu thiểu số như da nâu, da đen và da đỏ đă là những nạn nhân lớn nhất khi 60% khối dân này bị nạn, trong khi trong khối dân da trắng nghèo, chỉ có 29% bị khó khăn.

https://www.theguardian.com/us-news/2021/oct/12/us-households-financial-problems-medical-care-food  

    Ø   Hệ thống cung ứng bị kẹt

    Mỹ đang gặp khủng hoảng kinh tế nặng với đường giây cung ứng -supply chain- bị kẹt cứng. Nghĩa là có hàng hoá nhưng hàng bị kẹt tại các nhà kho, các phi trường, và nhất là các bến tàu, không thể chuyên chở tới các chợ và người tiêu thụ được. 

https://1.bp.blogspot.com/-ljbCgDU9ANk/YWnd7CQ9KLI/AAAAAAAApro/Jy1myYORda81s4reoZHOdvNwksTzb48tQCLcBGAsYHQ/w397-h259/Screen%2BShot%2B2021-10-12%2Bat%2B8.29.04%2BPM.png

    Lư do chính là thị trường lao động bị nghẽn v́ thiếu nhân công. Một số chưa chích ngừa bị cấm không được đi làm, một số chống chích ngừa, đ́nh công, và một số sợ lây nhiễm, nằm nhà ăn trợ cấp an toàn hơn. 

    Trong thời gian tới, nhiều món hàng sẽ bị thiếu, mua không được cho dù tăng giá, trong khi việc nhận hàng qua bưu điện hay các phương tiện giao hàng tận nhà như bưu điện USPS, FedEx và Amazon sẽ bị tŕ trệ. Cụ Biden đă phải nh́n nhận mùa Giáng Sinh năm nay, sẽ thiếu rất nhiều món hàng thiên hạ cần.

https://thehill.com/opinion/white-house/576478-amateur-hour-pete-buttigiegs-inexperience-
exposed-as-supply-chain-breaks
 

    T́nh trạng thê thảm đến độ cụ Biden hôm thứ tư vừa qua phải ra trước TV đọc diễn văn đă được viết sẵn, giảng giải và đổ thừa. Lần này, đổ thừa chung chung cho tất cả khu vực kinh doanh tư nhân, như thể các công ty đă thông đồng để hăm hàng để có thể tăng giá, hay khu vực tư đă không chịu thuê công nhân lại. Câu hỏi cho cụ Biden: sắp đến mùa nghỉ lễ Giáng Sinh và tết Tây, là mùa mua sắm lớn nhất năm, sao các công ty lại ngu dại cho kẹt hàng để không bán được ǵ? Không hiểu cụ Biden học kinh doanh tới lớp nào? 

    Sau đó, một lần nữa, đọc xong quay đít đi, không cho nhà báo nào đặt câu hỏi. Dường như các phụ tá của cụ đă sáng tạo ra kỹ thuật né đạn kiểu mới, không cho cụ Biden trả lời câu hỏi của báo chí nữa, sợ cụ lại nói nhảm, nói bậy. Ông Trump trước đây tấn công truyền thông, cụ Biden bây giờ ‘khôn ngoan’ hơn, trốn truyền thông.

    Trong khi đó, th́ việc cung cấp các món hàng công nghệ cao như điện thoại di động, laptop, đồ chơi điện tử, ngay cả xe mới, sẽ bị tŕ trệ trong việc sản xuất và giao hàng, v́ là những món hàng cần rất nhiều bộ phận lẻ từ rất nhiều nguồn. Đưa đến t́nh trạng quái lạ là giá xe cũ tăng ào ào v́ không đủ xe mới bán cho thiên hạ. Một phần không nhỏ các vật liệu phụ tùng này được sản xuất hay lắp ráp tại các xứ chậm tiến Á Châu đang bị COVID hoành hành, phải đóng cửa hăng xưởng, không c̣n sản xuất ǵ nữa, như tại VN, Thái, Mă Lai,… 

    T́nh trạng VN rất bi đát. Kinh tế bị đóng cửa hơn cả tháng, dân bị nhốt trong nhà, vừa mở cửa lại th́ cả triệu dân các thành phố đổ xô về quê trốn dịch, các hăng xưởng tại các thành phố, nhất là Sàig̣n, không có nhân công làm việc. Nhà Nước VC năn nỉ xin dân ở lại đi làm nhưng chẳng ai thèm nghe v́ họ sợ dịch tấn công lại, họ lại bị nhốt trong nhà không biết bao lâu nữa, về quê cho chắc ăn.

https://www.vox.com/recode/22714507/shipping-delays-chip-shortage-holiday-shopping  

    Ø   Hơn 4 triệu người nghỉ làm

    Thống kê chính thức mới nhất của bộ Lao Động cho thấy trong tháng Tám vừa qua, đă có tới 4,3 triệu người nghỉ việc hay bị sa thải, hay hăng bị đóng cửa, phải nghỉ việc.

    Lư do quan trọng nhất: khi đó là lúc biến thể delta của COVID bắt đầu tấn công Mỹ mạnh. Nhiều tiểu bang đóng cửa kinh tế lại, trong khi nhiều hăng xưởng, đại công ty cũng đóng cửa.

    Thành phần nghỉ việc lớn nhà là trong khu vực khách sạn và tiệm ăn v́ đă là mục tiêu đầu tiên của các biện pháp chống dịch.

https://www.cnbc.com/2021/10/12/a-record-4point3-million-workers-quit-their-jobs-in-
august-led-by-food-and-retail-industries.html
 

    Ø   Giá xăng tăng vọt

    Giá dầu thô trên thế giới đă tăng vọt lên trên 81 đô một thùng phuy, đưa đến nhiều dự đoán giá này sẽ tiếp tục lên tới 100 đô trong vài tuần tới.

    Giá xăng dĩ nhiên đă và sẽ tăng mạnh theo.

    Tại thành phố New York, giá một ga-lông xăng thường đă lên tới xấp xỉ 5 đô, trong khi xăng supreme là 5,40 đô một ga-lông. Trong 50 tiểu bang, chỉ có 8 là giá xăng c̣n dưới 3 đô. Tại Houston, giá trung b́nh là 2,80.  

https://1.bp.blogspot.com/-t1_4nZ5PkzI/YWneYKyR1xI/AAAAAAAAprw/IXcwChSb6CUY6Unzbx8rHs_TAZpfWH1JQCLcBGAsYHQ/w374-h217/Screen%2BShot%2B2021-10-12%2Bat%2B8.21.01%2BPM.png

Giá xăng New York

     Giá xăng trung b́nh cả nước hiện nay đă lên tới 3,25 đô, mức cao nhất từ năm 2014, cách đây 7 năm, dưới thời Tiên Tri Obama. Tính trung b́nh, trong lịch sử Mỹ, giá xăng cao nhất là trong những năm 2011-12-13-14, cả 4 năm đều dưới thời Obama.

    Đúng là sách lược của cụ Biden là tất cả trở về như thời Obama.

  https://1.bp.blogspot.com/-afiTecWiXMI/YWnelj7jgbI/AAAAAAAApr0/FuL94qJ-f04YkPM2HUqDmRS2hF77yl8cwCLcBGAsYHQ/w630-h123/Screen%2BShot%2B2021-10-13%2Bat%2B12.32.56%2BAM.png

    Giá xăng thời ‘vàng son Obama’ so với $ 3,25 hiện nay.

    Đây là giá trung b́nh cả nước; Cali và New York có giá cao hơn xa.  

https://www.fox5ny.com/news/gas-prices-hit-5-in-manhattan  

HẬU THUẪN CỦA BIDEN TIẾP TỤC LAO XUỐNG HỐ

https://1.bp.blogspot.com/-lrCw1oGIir4/YWne_dCap-I/AAAAAAAApsA/epzvWVMmlWYd5tlGDp6jNejUwjf3UsVdgCLcBGAsYHQ/w610-h620/Screen%2BShot%2B2021-10-11%2Bat%2B12.10.36%2BAM.png

Nguồn: Real Clear Politics 8/10/2021

  https://1.bp.blogspot.com/-fT_t0SjewPo/YWnfM1bGyeI/AAAAAAAApsE/TvszxAECV1kVaIlG2JXDFq9klYHMm5xugCLcBGAsYHQ/w589-h574/Screen%2BShot%2B2021-10-12%2Bat%2B12.20.25%2BAM.png

Nguồn: Real Clear Politics 13/10/2021

     Tuần rồi, tỷ lệ chống cụ Biden cao hơn tỷ lệ hậu thuẫn 6,9%. Nhưng chỉ 5 ngày sau, tỷ lệ này tăng ngay tới 9,8%. Đại khái tăng 3 điểm trong có 5 ngày. Cách đây sáu tuần, đầu tháng Chín, hai tỷ lệ ủng hộ và chống đối ngang nhau, cách biệt là zero. 

    Trong lịch sử chính trị Mỹ, chưa có một tổng thống nào thấy hậu thuẫn lao xuống hố nhanh như cụ Biden. 

 BIDEN BỊ CHỌC QUÊ LỚN

    Một câu chuyện vớ vẩn thành một màn bể mặt cho cụ Biden.

    Sau cuộc đua xe hơi Nascar nổi tiếng của dân bảo thủ, phần lớn ủng hộ đảng CH, anh vô địch Brandon Brown được một chị nhà báo cấp tiến phỏng vấn. Trong khi phỏng vấn th́ trên các khán đài, hàng ngàn dân đang hô lớn “Fuck Biden!” (xin lỗi kẻ này miễn dịch lại). Để bào chữa cho thần tượng của chị cũng như để nịnh anh lái xe đua chị đang phỏng vấn, chị diễn giải dân chúng đang hô “Let’s go, Brandon”.

    Điều không ai ngờ là câu nói của chị đă biến thành câu diễu dở vô duyên và tiếu lâm nhất, được dân chống cụ Biden khai thác, tung lên khắp nơi để chọc quê cụ.

  https://1.bp.blogspot.com/-bIAHX3RXFO8/YWnfiG7_JeI/AAAAAAAApsQ/HzKgiZb6qcQW3R-o_VSo_NJKmc1kbkNKQCLcBGAsYHQ/w423-h234/Screen%2BShot%2B2021-10-11%2Bat%2B2.43.55%2BPM.png

https://www.foxnews.com/politics/the-phrase-lets-go-brandon-has-become-an-internet-
sensation-fueled-by-trump-supporters-heres-why

DÂN ANH BẮT CÁ ÔNG TRUMP

    Dân cá độ bên Anh đă bắt cá ông Trump sẽ đắc cử tổng thống năm 2024!

    Trong tất cả các ‘ngôi sao’ của cả hai đảng, ông Trump được cho là có xác suất thắng cử cao nhất, với 21%, sau đó là cụ Biden với 19%;  sau nữa là bà phó Kamala ngang hàng với thống đốc Florida DeSantis với 13%.

    Trong nội bộ đảng CH, ông Trump đè bẹp tất cả, không một người nào có mảy may hy vọng hạ ông. Vấn đề là không ai biết ông Trump sẽ ra tranh cử hay không.

https://spectatorworld.com/topic/british-bookies-trump-favorite-win-2024/  

T̀NH TRẠNG BIÊN GIỚI TRỞ NÊN NGUY HIỂM

    Một đám băng đảng ma tuư t́m cách giúp di dân lậu bằng cách dùng tiểu liên bắn loạn đả vào đồn cảnh sát biên pḥng Mỹ, để cản không cho cảnh sát ra khỏi đồn trong khi cả đám di dân lậu ào ạt chạy qua biên giới. 

    Câu chuyện xẩy ra tại thành phố nhỏ Roma, phía cực nam tiểu bang Texas, sát biên giới Mễ. Vùng biên giới Texas từ Laredo tới MacAllen là tâm điểm di dân từ Mễ tràn qua Mỹ.

    Phim Hồ Ly Vọng c̣n chưa dám nghĩ tới cách này.  

https://1.bp.blogspot.com/-s4_FLcnQmmc/YWnfwUCra6I/AAAAAAAApsU/vOI7c6fiF7sNZvcyyjWr5167kR_pHsciQCLcBGAsYHQ/w400-h398/Screen%2BShot%2B2021-10-10%2Bat%2B7.25.48%2BPM.png

    Trong khi đó, chính quyền Texas đang chuẩn bị chặn khoảng 60.000 dân Haiti đang trên đường tới biên giới Mỹ. Trong khi một đoàn xe khác chở di dân từ Trung Mỹ -Guatemala, Honduras và El Salvador- cũng mới bắt đầu khởi hành từ nam Mexico, tiến về biên giới Mễ-Cali.

https://1.bp.blogspot.com/-yDfMaHboz7Y/YWngAN_0jzI/AAAAAAAApsk/QjSxTPDyyCsAsnOwYAdmMIT55L92uxuSQCLcBGAsYHQ/w489-h319/Screen%2BShot%2B2021-10-10%2Bat%2B7.30.38%2BPM.png

 Di dân Haiti trên đường tới Mỹ

     Số di dân lậu tràn qua từ biên giới Mễ trong năm nay đă tăng gấp 4 lần so với năm ngoái dưới thời TT Trump.  

https://1.bp.blogspot.com/-rKKvh4hyYCk/YWngk6SNPwI/AAAAAAAApsw/rCW4iPASlqown8YDv0fyuTfyvLaK1XPkQCLcBGAsYHQ/w508-h346/Screen%2BShot%2B2021-10-15%2Bat%2B3.11.44%2BPM.png

https://www.dailymail.co.uk/news/article-10074663/Mexican-cartel-fires-machine-gun-bullets-
zipping-just-National-Guard.html

THÀNH TÍCH CÁC BỘ TRƯỞNG CỦA CỤ BIDEN

    Dưới đây là danh sách không đầy đủ về thành tích của nội các Biden:

    -    Bộ trưởng Ngoại Giao: tháo chạy khỏi Afghanistan không thông báo cho đồng minh, bỏ lại cả ngàn dân Mỹ; thành lập liên minh quân sự AUKUS không thông báo cho NATO; TC liên tục vác máy bay xâm phạm không phận Đài Loan.

    -    Bộ trưởng Quốc Pḥng: tháo chạy rối loạn chết lính tại Afghanistan.

    -    Bộ trưởng An Ninh Lănh Thổ: khủng hoảng di dân với gần hai triệu di dân lậu tràn qua biên giới.

    -    Bộ trưởng Tư Pháp: kỷ lục nổi loạn, trộm cắp, cướp của, giết người.

    -    Bộ trưởng Tài Chánh: kinh tế khủng hoảng, lạm phát tràn lan.

    -    Bộ trưởng Y Tế: COVID và con cháu biến thể hoành hành mạnh.

    -    Bộ trưởng Giao Thông: đứt giây cung ứng.

    -    Bộ trưởng Giáo Dục: phụ huynh nổi loạn khắp nơi chống dạy môn kỳ thị chủng tộc.

    -    Bộ trưởng Năng Lượng : giá xăng cao kỷ lục.

    -    Bộ trưởng Lao Động: tháng qua chỉ có 194.000 người đi làm lại thay v́ 500,000 như khoe khoang trước.

    -    Bộ trưởng Gia Cư: tiền thuê nhà lên mức cao kỷ lục khắp nước, trong khi giá nhà mới cao kỷ lục v́ giá thành của vật liệu xây cất gia tăng mạnh.

    -    Các bộ trưởng Nội Vụ, Canh Nông, Thương Mại, Cựu Chiến Binh: không ai biết họ đang làm ǵ hay không làm ǵ.

    Một quốc trưởng lẩm cẩm vô tài thu dụng một đám phụ tá ngớ ngẩn bất tài.  

VỤ CẢNH SÁT BẮN CHẾT NGƯỜI BIỂU T̀NH

    Nhắc lại, ngày 6/1/2021, cả trăm ngàn người biểu t́nh bao vây trụ sở quốc hội để ủng hộ TT Trump. Trong vụ đó, một người biểu t́nh, bà da trắng Ashli Babbitt bị bắn chết. Bộ Tư Pháp cho biết không truy tố viên cảnh sát đă bắn chết bà v́ theo giải thích của bộ, anh cảnh sát đă làm đúng bổn phận, cứu nguy quốc hội. Sau đó, anh cảnh sát, một trung úy cảnh sát da đen tên là Michael Byrd, cũng tuyên bố anh đă bắn chết bà để cứu không biết bao nhiêu người bị bà Babbitt đe dọa tính mạng.

    Tổ chức Judicial Watch kiện ra ṭa để được xem hồ sơ của cảnh sát về vụ này. Và khám phá ra chính phúc tŕnh nội bộ của cảnh sát nh́n nhận không có lư do ǵ phải bắn chết bà Babbitt” v́ bà này tay trắng chui qua cửa sổ vào quốc hội, không có gậy gộc, dao hay súng.

    Đó là công lư của đảng DC: cảnh sát da đen bắn chết một bà biểu t́nh da trắng không có khí giới ǵ hết: miễn tội. Cảnh sát da trắng chấn cổ chết một tên du thủ du thực da đen bị tuyên án tù măn kiếp.

https://news.yahoo.com/babbitt-shooting-internal-police-docs-214104564.html  

CALI: THIÊN ĐÀNG XĂ NGHĨA MỸ

    Ø   Bắt giảng về chủng tộc cho học sinh trung học

    Cali đă là tiểu bang đầu tiên ra luật bắt giảng dạy về chủng tộc -ethnic studies- cho tất cả học sinh trung học.

    Trên nguyên tắc, theo sự giải thích của các nhà làm luật Cali, th́ các dân tộc thiểu số da đen, da nâu, cũng như da vàng, cần phải hiểu rơ nguồn gốc và lịch sử sinh sống của họ tại xứ Mỹ này. Hiển nhiên là theo giải thích này, việc giảng dạy về chủng tộc cần thiết.

    Tuy nhiên, thực tế của vấn đề không như vậy. Theo những chuyên gia bảo thủ chống lại việc giảng dạy này, th́ trên thực tế, đây chỉ là những giảng dạy bài bác dân da trắng, tố cáo dân da trắng đă kỳ thị và đàn áp các khối dân thiểu số như thế nào trong lịch sử Mỹ. 

    Mục đích gần là phe cấp tiến đang t́m cách mua phiếu của dân thiểu số trong các cuộc bầu cử, để thay thế số cử tri da trắng đă bỏ đảng hàng loạt. Trong khi hậu quả xa tất nhiên là tạo thêm phân hóa trong xă hội Mỹ thôi.

    Như DĐTC này đă nhận định, phe tả Mỹ đang cố gắng thay thế cuộc đấu tranh giai cấp của chủ nghĩa CS bằng cuộc đấu tranh chủng tộc để dụ khị đám dân da màu, không hơn không kém.

https://www.latimes.com/california/story/2021-10-08/california-first-state-require-ethnic-studies
-high-school-graduation
 

    Ø   Ra luật về chuyện kín pḥng the

    Cali cũng là tiểu bang đầu tiên ra luật mới, bắt buộc các cặp mỗi khi luyến ái, phải có sự đồng ư của cả hai bên là không mang bao cao su, nếu không có sự đồng ư này, th́ sẽ phạm tội và bị bắt. Nôm na ra, các cụ ông mỗi lần trước khi ‘thân mật’ với các cụ bà đều phải khoanh tay xin phép các cụ bà “cho tôi miễn mang bao cao su nhe”. Các cụ bà ô-kê th́ mới được, c̣n không mang bao cao su mà cứ lấn tới, là các cụ bà có quyền gọi cảnh sát đến tóm cụ ông ngay.

    Chưa hết, luật Cali cũng nh́n nhận mỗi lần hai bên ‘thân mật’ mà không có sự đồng ư của cả hai th́ coi như là một bên đă hăm hiếp bên kia, cho dù hai người đă là vợ chồng, có giấy hôn thú đầy đủ. Trong trường hợp này bên ‘bị hăm’ cũng có quyền gọi cảnh sát đến bắt nhốt bên kia ngay. Các cụ ông nghiện rượu, say xỉn về nhà ‘hành’ các cụ bà nên lưu ư, có thể bị nhốt đấy.

    Trước cảnh dân Bờ Lờ Mờ và AntiFa nổi loạn, đốt nhà cướp của thiên hạ, Cali t́m cách giúp cảnh sát bận rộn lo những chuyện khác, có thể sẽ thành lập ‘biệt đội pḥng the’ để ŕnh bắt những vụ mây mưa riêng tư này, dù sao cũng ít nguy hiểm cho cảnh sát hơn là đi bắt trộm cướp da đen. 

https://thehill.com/changing-america/well-being/575981-california-becomes-first-state-to-make-
it-illegal-to-remove
 

    Ø   Luật mới về bán đồ chơi trẻ con

    Cali có luật mới cho các tiệm bán đồ chơi trẻ con.

    Thứ nhất, không được phân biệt đồ chơi cho con trai và đồ chơi cho con gái; phải bán chung lẫn lộn.

    Thứ nh́, phải có thêm đổ chơi cho trẻ con trai gái đều chơi được, gọi là ‘gender neutral’ (?!).

https://www.pinknews.co.uk/2021/10/10/california-gender-neutral-children-stores-toys/  

    Ø   Walgreens đóng tiệm

    V́ lư do bị trộm cướp quá nhiều, chuỗi tiệm thuốc Walgreens đă thông báo sẽ đóng bớt 5 tiệm tại San Francisco. Trước đó Walgreens cũng đă đóng cửa 10 tiệm trong vùng này rồi.

    Cali đang bị nạn trộm cướp hoành hành không ai kiểm soát được nhờ luật mới của tiểu bang, không truy tố những vụ trộm cướp gọi là vặt. Chính thức th́ v́ lư do những vụ trộm cướp lắt nhắt không đáng để cảnh sát mất thời giờ, nhất là khi các tiệm đều có bảo hiểm bù đắp thiệt hại. Trên thực tế, ai cũng hiểu hầu hết những vụ trộm cướp vặt này đều do dân da đen là thủ phạm, nên cảnh sát muốn tránh đụng chạm đến đám này, chẳng may lại xẩy ra chuyện một tên trộm cướp bị chết như Thánh George Floyd th́ quá phiền, lại thêm một ông thánh để thờ trong khi cảnh sát lại phải bồi thường vài chục triệu đô.

    Tin báo chi cho biết thành phố New York cũng đang bị nạn trộm lớn trong các cửa hàng.

    Thiên đàng xă nghĩa là vậy.

https://www.foxbusiness.com/retail/walgreens-closing-san-francisco-stores-theft  

BÀ KAMALA ĐÓNG TUỒNG

    Bị chỉ trích là bà phó ‘tàng h́nh’, bà Kamala trong tuần rồi đă chường mặt ra, nhưng không phải để làm một chuyện ǵ vĩ đại hay đọc diễn văn nổi đ́nh nổi đám ǵ, mà chỉ là một cuộc nói chuyện thân mật với một số học sinh tiểu học về chuyện… thám hiểm không gian, về các núi lửa trên cung trăng,…

    Buổi nói chuyện đó nói lên đầy đủ vai tṛ ‘cực kỳ quan trọng’ của bà phó tổng thống!

    Chưa hết. Báo chí mới khui ra thêm chuyện đây lại chỉ là một màn hát bộ rẻ tiền nhất khi các em học sinh này thật ra không phải là học sinh thật đang nói chuyện với bà Kamala trong một lớp học, mà tất cả các em này đều là… tài tử xi-nê-ma thật, được mời diễn xuất có đạo diễn, tập dợt trước, những câu nói của mấy em đều có chuyên gia viết và mấy em học thuộc ḷng, và tất cả đều được trả thù lao đầy đủ.

    Trong chính quyền của cụ Biden, bây giờ, tất cả đều chỉ là… đóng tuồng hết, chẳng có ǵ thật nữa. Ngay cả nói chuyện với con nít tiểu học cũng phải mướn tài tử và đạo diễn.

    C̣n nhớ, TT Obama trước đây, có lần được quay phim đến nói chuyện với học sinh tiểu học, mà vẫn cần phải đọc từ máy nhắc tuồng teleprompter.

    Các cụ vẹt muốn chửi Trump kiểu ǵ tôi không cần biết, chỉ biết ít ra với Trump, thấy sao là vậy, chẳng có chuyện giả dối, đóng tuồng lừa thiên hạ. 

https://thehill.com/homenews/administration/576351-harris-office-did-not-pick-kids-in-
nasa-video-official-says-amid
 

BỘ TRƯỞNG TƯ PHÁP ‘THỨC TỈNH’

    Bộ trưởng Tư Pháp, ông Merrick Garland đă ra lệnh FBI theo dơi và điều tra cái mà ông gọi là những thành phần ‘khủng bố nội địa’ -domestic terrorists-. Nghe cũng hợp t́nh hợp lư, cho đến khi coi lại danh sánh t́nh nghi của ông Garland th́ té ngửa ngay. Trong danh sách ‘khủng bố’ đó, có luôn cả các phụ huynh học sinh chống lại việc dạy các lớp học mới về chủng tộc, gọi là Critical Race Theory -CRT. Phụ huynh học sinh chống lại chính sách của cụ Biden bây giờ cũng đă biến thành ‘khủng bố’ rồi. Chỉ chưa biết chừng nào th́ họ bị bắt đi nhốt tại Guantanamo thôi.

    Chương tŕnh CRT là chương tŕnh trên nguyên tắc là t́m hiểu và học hỏi về quá tŕnh phát triển các sắc tộc trong lịch sử Mỹ. Trên thực tế, chỉ là một chương tŕnh cổ vơ bởi phe cực tả trong đảng DC, muốn viết lại lịch sử, cốt ư mô tả dân da trắng Mỹ trong quá khứ, đă đàn áp, bóc lột dân da màu, chủ ư là dân da đen, những cũng có dân da nâu và da vàng, tùy theo nhu cầu địa phương, chẳng hạn Cali là tiểu bang có nhiều dân da nâu và da vàng, sẽ chú tâm hơn vào việc dân da trắng đàn áp và bóc lột dân da nâu và da vàng.

    Nh́n dưới một khiá cạnh khác CRT cũng nằm trong kế hoạch tuyên truyền chính trị của phe thiên tả, muốn thay thế đấu tranh giai cấp không thực tế trong xứ Mỹ, bằng đấu tranh chủng tộc, có hiệu quả hơn tại Mỹ. 

https://sentinelksmo.org/justice-dept-threatens-to-sic-fbi-on-parents-as-domestic-terrorists/  

BỘ TRƯỞNG TƯ PHÁP VÀ CON RỂ

    Trong khi bộ trưởng Tư Pháp đang ra lệnh FBI đàn áp các phụ huynh học sinh chống việc dậy CRT, th́ thiên hạ mới khám phá ra con rể của ông bộ trưởng Garland, ông Xan Tanner, lại chính là luật sư đă thành lập ra tổ chức Panorama Education, là tổ chức đang vận động các trường trung học huấn luyện giáo chức về cái gọi là Social-Emotional Learning -SEL-, có mục đích cổ suư cho chính sách ‘công bằng’ -equity- mới trong các trường học.

    Các quyết định của ông bộ trưởng bố vợ và ông luật sư con rể hiển nhiên là đi song song với nhau. Khiến một số nghị sĩ CH đă đặt vấn đề mâu thuẫn quyền lợi -conflict of interets- giữa hai bố con.

    ‘Đặt vấn đề’? Chuyện rơ hơn ban ngày, bố làm con hưởng, c̣n đặt vấn đề ǵ nữa?

    Ông rể này đă cung cấp tài liệu cho hơn 23.000 trường học và thu về được 76 triệu đô.

    Nhắc lại, ông bộ trưởng Garland là người trước đây đă được TT Obama bổ nhiệm thẩm phán Tối Cao Pháp Viện, nhưng bị phe CH chặn lại, để sau đó TT Trump bổ nhiệm ông Neil Gorsuch.

 

https://1.bp.blogspot.com/-EzZBYk6GEBA/YWnhqFtGbcI/AAAAAAAAps4/BPKjLLhpT5kEjUl0Ngl79CbpF7n3dXHUwCLcBGAsYHQ/w351-h248/Screen%2BShot%2B2021-10-12%2Bat%2B2.22.25%2BPM.png

 https://www.washingtonexaminer.com/news/gop-senators-raise-conflict-interest-concerns-
garland-son-in-law-company-panorama-education
 

VĂN HÓA THỨC TỈNH MỚI

    Trẻ con khắp thế giới, kể cả trẻ con miền quê Việt, tất cả đứa nào cũng biết người hùng Superman trong tranh hoạt họa Mỹ, là một thứ siêu hùng, ḿnh đồng da sắt, biết bay, chuyên đi cứu nhân độ thế, diệt tà.

    Người hùng đó bây giờ mới được ‘văn hóa thức tỉnh’ lột xác thành một anh… ‘lại cái’, chỉ giỏi đi tán mấy chú bé đực rựa nhóc, mà không bị tội dụ dỗ trai vị thành niên.

    Nước Mỹ ngày nay quả là… hết thuốc chữa.  

https://1.bp.blogspot.com/-eUnIR34-ueI/YWnhygD6QrI/AAAAAAAAps8/Z9bAFTO0hqEr3vZBMP5gcOwtics4cJYTACLcBGAsYHQ/w398-h296/Screen%2BShot%2B2021-10-11%2Bat%2B5.49.27%2BPM.png

Superman xưa và nay

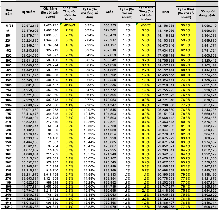
 CẬP NHẬT COVID

https://1.bp.blogspot.com/-R1ALFVii-HU/YWnh_1OAPQI/AAAAAAAAptE/aKUs3jdn0BE-vu8S2lsgVfXDvl0Ai_k6ACLcBGAsYHQ/w158-h191/Screen%2BShot%2B2021-10-15%2Bat%2B12.05.14%2BPM.png

  https://1.bp.blogspot.com/-tRsJp8VE-Jw/YWniE-05dGI/AAAAAAAAptM/MMbNiXaRvNw2OLFhn_1d26ApQ1Sb-__BwCLcBGAsYHQ/w636-h608/Screen%2BShot%2B2021-10-15%2Bat%2B12.08.29%2BPM.png

https://1.bp.blogspot.com/-vUs8xeszWg0/YWniOI1YVMI/AAAAAAAAptQ/ltXflLYBafYz7G5nr9jrZTqZa--3FTmHACLcBGAsYHQ/w280-h518/Screen%2BShot%2B2021-10-15%2Bat%2B12.09.09%2BPM.png

    Ø   Tóm lược

    Số người bị nhiễm và chết v́ dịch COVID vẫn gia tăng tuy tỷ lệ gia tăng có giảm trong tuần rồi.

    Ø   Khuyến cáo về chích ngừa mũi thứ ba

    Chính quyền Biden đang cố vận động dân đă chích ngừa nên đi chích thêm mũi nữa. Tuy nhiên, việc chích thêm chỉ áp dụng cho những người đă chích hai mũi Pfizer thôi, chưa áp dụng cho bất cứ thuốc nào khác.

    Tuy nhiên, Tổ Chức Y Tế Quốc Tế WHO năn nỉ dân Mỹ khoan chích mũi thứ ba, để dành thuốc cho dân các xứ chậm tiến chưa có đủ thuốc chích. Trong khi đó, Cơ Quan Kiểm Soát Dịch CDC của Mỹ cũng khuyến cáo những người đă chích ngừa hai lần VÀ đă bị nhiễm và đă khỏi, không cần chích ngừa mũi thứ ba v́ trong người đă có dư thừa kháng thể chống COVID rồi.

https://www.foxbusiness.com/healthcare/fully-vaccinated-and-had-covid-19-no-rush-for-a-booster-shot-experts-say  

    Ø   Bệnh viện thiếu y tá

    Nhiều bệnh viện lớn của Mỹ đang gặp khủng hoảng mới: thiếu y tá trầm trọng. Một phần v́ làm nghề này bây giờ có nhiều rủi ro quá lớn khi dễ bị nhiễm dịch COVID quá, và một phần v́ việc bắt buộc họ phải chích ngừa nếu không sẽ mất job.

    Một bệnh viện lớn của tiểu bang Michigan đă đóng cửa v́ thiếu y tá, sau khi hơn 400 nhân viên từ chức, bỏ nhà thương, phần lớn là y tá, v́ chống lại bắt buộc chích ngừa. Bệnh viện bây giờ đă phải tặng 10.000 đô tiền mặt cho y tá mới vào làm việc. Dù vậy, vẫn chẳng có bao nhiêu người xin vào làm.

https://www.foxnews.com/us/mass-exodus-hundreds-of-detroit-healthcare-workers-quit-after-refusing-covid-19-vaccine  

    Ø   New York Times tung fake news

    Trong nỗ lực tiếp tay cụ Biden trong chính sách hù dọa thiên hạ, báo phe ta New York Times tung tin đă có tới 900.000 (vâng, chín trăm ngàn) trẻ em tiểu học bị dịch COVID đă phải chữa trị tại các bệnh viện tiểu bang New York, theo tin của một chị nhà báo cấp tiến tên là Apoorva Mandavilli, gốc Ấn Độ, đă từng viết bài tố tất cả những ai gắn tội cho Trung Cộng là thủ phạm đẻ ra COVID chỉ là dân kỳ thị da vàng. 

    Bị chất vấn, NYT miễn cưỡng điều tra lại, khám phá ra chỉ có tổng cộng 63.000 trẻ em tiểu bang New York đă phải vào bệnh viện kể từ đầu năm ngoái khi COVID mới tấn công cho tới giờ. Khiến NYT đành phải đăng lời cải chính.

    Từ 63.000 phóng đại lên tới 900.000, gấp có 14 lần thôi, chiệng nhỏ.

https://www.breitbart.com/the-media/2021/10/11/nolte-ny-times-publishes-false-report-of-900k-
child-coronavirus-hospitalizations/?utm_source=newsletter&utm_medium=email&utm_term=daily&utm_campaign=20211011

    Ø   Hàng vạn dân Ư xuống đường chống chích ngừa

    Chủ nhật vừa qua, cả vạn dân Ư đă tràn xuống đường tại thủ đô Rome, để chống lại các biện pháp gắt gao mà chính phủ Ư đă ban ra để chống dịch Covid, cụ thể để chống lại việc bắt buộc tất cả thiên hạ phải có thẻ chứng minh đă chích ngừa mới được đi làm các hăng sở, kể từ ngày 15/10/2021. Hiện nay, thẻ chích ngừa bị bắt buộc khi đi ăn nhà hàng, và các nơi công cộng như rạp hát, viện bảo tàng, xe lửa, máy bay, xe buưt,…

    Chuyện lạ đáng nói: dân Ư đi biểu t́nh, đi ngang ṭa đại sứ Mỹ, đồng loạt hô to khẩu hiệu… “Fuck Biden!”.

https://1.bp.blogspot.com/-lUhBQyflVoU/YWniiN6WDFI/AAAAAAAAptg/1a9v_CxBUFc5iSDxanZMWwf9nSp06pLeACLcBGAsYHQ/w446-h293/Screen%2BShot%2B2021-10-10%2Bat%2B7.10.30%2BPM.png

https://apnews.com/article/coronavirus-pandemic-business-italy-mario-draghi-health-436d20f53f526a11b746c262ccf84315

    Ø   WHO điều tra về nguồn gốc COVID

    Tổ Chức Y Tế Quốc Tế WHO cho biết lại thành lập một nhóm chuyên gia để điều tra lại về nguồn gốc của vi khuẩn Vũ Hán.

    Đây có lẽ là tin diễu dở nhất trong năm. Cả thế giới ai cũng biết chủ tịch WHO, ông Tedros Adhanom là bù nh́n nặng của Trung Cộng, do TC đưa vào chức này, bây giờ dám đ̣i điều tra TC? Thực tế, theo kẻ này nghĩ, thế giới vẫn nghi ngờ vi khuẩn xuất phát từ pḥng nghiên cứu Vũ Hán, do đó TC thấy có nhu cầu lại cho một nhóm khác điều tra để một lần nữa, xác nhận lại chuyện bạch hóa tội trạng của TC thôi.

    Dĩ nhiên lại điều tra bằng tiền thuế của quư vị và tôi thôi, sau khi cụ Biden mang Mỹ tham gia WHO trở lại, đóng niên liễm sơ sơ có 500 triệu đô thôi.  

https://1.bp.blogspot.com/-4iaCOcbnu50/YWnit6ziUSI/AAAAAAAAptk/_kPEqE3gViY5qAOs7q5mc1mDUUVXUWLPwCLcBGAsYHQ/w449-h203/Screen%2BShot%2B2021-10-14%2Bat%2B6.39.21%2BPM.png

Ông Tedros Adhanom ngồi giữa

 

Trở lại